
ASMOD: Atom-scale modeling in SINTEF
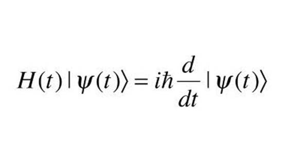
Research in chemistry and materials science has traditionally been based on laboratory experiments. It is, however, also possible to compute the properties of molecules and materials using mathematical models based on basic theoretical physics, and...